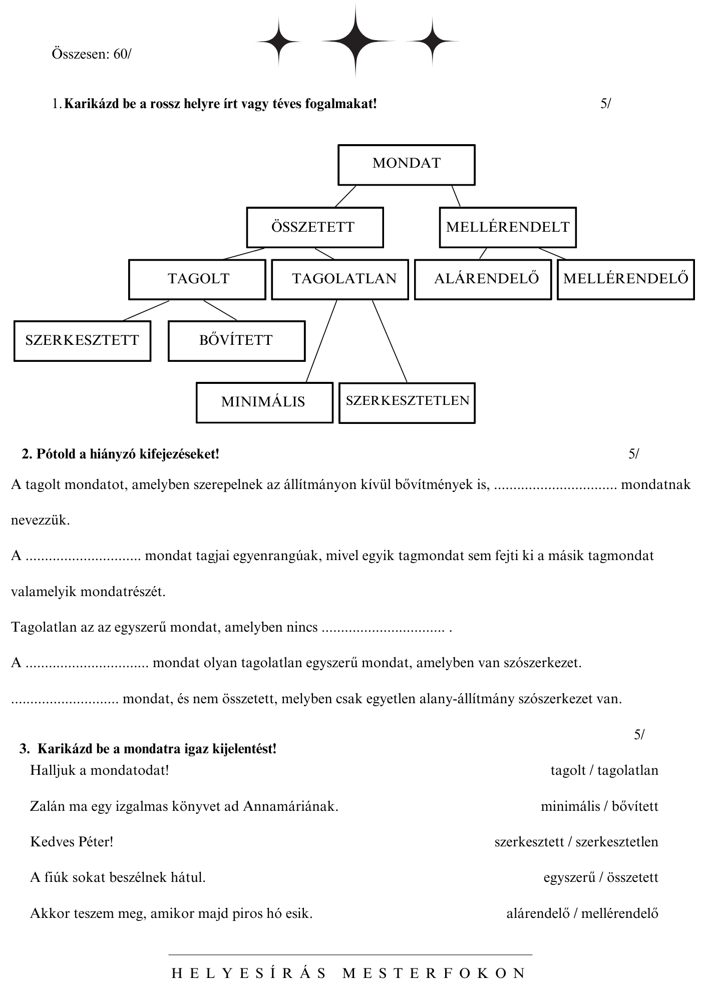
Összetett mondatok elemzése dolgozat
2.100 Ft
Két különböző, A és B csoportos dolgozat, tudásfelmérő.
Feladattípusok:
- mondattani ismeretek
- a mondat és részei (tagolt, tagolatlan, szerkesztett, szerkesztetlen stb.)
- mondattanról igaz-hamis állítások
- hiányzó utaló- és kötőszavak
- ágrajz – alárendelő mondat párosítás
- mellérendelés fajtáinak felismerése
- komlplex mondatelemzések
- egyszerű mondatból összetett mondat szerkesztése
A dolgozatok megoldást tartalmaznak!
12 A/4-es oldal + megoldások.
Pdf-ben rendelhető.
Kategória: Felső tagozat
Címke: DOLGOZATOK
Kapcsolódó termékek
-


Nyelvhelyesség
0 az 5-ből3.800 Ft Kosárba teszem -

Témákra bontott helyesírási gyakorlólapok
0 az 5-ből4.900 Ft Kosárba teszem -


VIDEÓKURZUS – Magyar
0 az 5-ből15.000 Ft – 30.000 FtÁrtartomány: 15.000 Ft - 30.000 Ft Opciók választása Ennek a terméknek több variációja van. A változatok a termékoldalon választhatók ki -

Viszonyszós szókereső
0 az 5-ből1.200 Ft Kosárba teszem

